LATE HISTORY OF GEORGETOWN FBO & COUNTY
SECTION SIXTEEN
10/9/02 to 1/21/03

INTRODUCTION - CONTENTS - MINIMUM STANDARDS
Airport Terms Defined - List of Key People

Other Sections
One (8/22/89 thru 4/19/94) - Two (6/10/96 only) - Three (thru 9/19/96)
Four (thru 9/18/97) - Five (thru 8/10/98) - Six (thru 10/26/98)
Seven (thru 4/14/99) - Eight (thru 6/24/99) - Nine (thru 9/8/99)
Ten (second complaint) - Eleven (thru 12/27/99) - Twelve (thru 7/25/00)
Thirteen (thru 10/9/00) - Fourteen (thru 9/11/01) - Fifteen (thru 10/1/02)
Seventeen (to present)

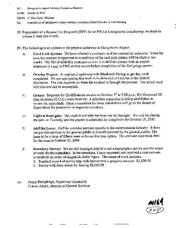
*** 10/9/02 (207-208)
Memo from Hyden to GAAC.
Page 1 - Page 2
Apology for cancelling meeting. At 3:30 yesterday we became aware of strong possibility of significant protest effort, etc. [Wonder who started that rumor?]
A. Basis for protest is confidential and legal, etc.
B. Can't discuss it with public.
C. Not able to get input from GAAC chairman.
D. Couldn't arrange to get sherriff's deputy.
E. Believed better to err on side of caution.
Update on airport projects:
A. Card lock system: contract underway. After contractor approval, 8 to 10 weeks to completion. If gap in FBO service, will use airport employee to man pumps.
B. Overlay project: Have contract. Anticipates work done by end of October or first of November. Actual work takes one day.
C. Grants: Requests for qualification due 10/4. Six statements of qualification were received. Selection committee being established.
D. Light at gate: Conduit and wire has been run. Pole to be placed on Thursday and completion scheduled by Oct 18, 2002.
E. Air film lease: [particulars about lease]
F. Boundary survey: Hoping to have consultant do this. Cost estimate: $3,500 for map with monuments. $8,500 with line stakes for fencing.

*** 10/16/02 (209-210)
Article in Mountain Democrat.
Page 1 - Page 2
States that county has terminated Steve's lease, that Steve acknowledged that he had been behind in lease payments but that he had paid up. A "county source" stated that he paid them $20,000 in arrears but was still behind in payments. [This is not correct and may, therefore, be considered libelous.]

10/17/02 (211)
Statement by Supervisor Solaro assuring ongoing continuous service at the Georgetown Airport. The county is in the process of recruiting a new FBO. Any gap between FBOs will be filled by the County, and services, security, and fuel will be provided. Other words stated that the BOS was supportive of the work that County staff was doing to improve the airport, that front gate lighting is being added, pavement work is scheduled, a card lock system for gas will be installed, and other "long term improvements" are "being planned" to help the Georgetown Airport to thrive, etc.

10/17/02
Open Letter to the Board of Supervisors

10/21/02 (212)
County statement of supposed charges still to be paid by the Cimmarustis. [This supposed new work by the County staff is a restatement of the same old things found in previous County statements which never reached the Cimmarustis and which are untrue, totalling $24,183.30.]

10/22/02 (213)
Letter to Supervisor Borelli from Pat Leeds. Enclosed find packet containing:
1. Statements by citizens addressing Supervisors at 10/22/02 meeting
2. Copy of E-mail to Supervisors by Allan and Jeannie Tice
3. Copy of article in Mountain Democrat
4. Copy of memo to GAAC from Gary Hyden showing why 10/8 GAAC mtg was canceled
5. Copy of letter to editor of Georgetown Gazette by Pat Leeds
6. Copy of letter to editor of Mountain Democrat by Lynn Schardt
7. Seven pages of petition to BOS signed by 65 citizens concerned with non-renewal of Cimmarustis lease and lack of FBO replacement

Wish to have enclosed petition agendized for 10/29 [26?] meeting.

10/25/02 (214-215)
Letter to divide residents asking them to support the airport by voting intelligently.

10/28/02 (216)
Letter from Penny Humphreys to Georgetown residents. States several "facts", the second of which is that "During the period of the lease Mr. Cimmarusti was substantially in arrears on lease payments a substantial period of time."

11/1/02 (217)
BOS consideration of process for clarifying Georgetown Airport Issue

11/4/02 (218)
Letter from Louis Green (signed by Parker) to Steve. Amended 30 day notice to vacate. Now must be out no later than 12/6/02.

11/4/02 (219)
Letter from Ellen Day, President of Taxpayers Association of El Dorado County. She is concerned that two agenda items (the airport and the library) were added late with no background information provided.

11/5/02 (220)
BOS recommended approval of recommendation. Requested the GAAC meet with County general services staff prior to 11/26/02 meeting of BOS. Public invited to attend.

11/12/02 (221)
Memo from Supervisor Borelli to Louis Green of County Counsel. All received correspondence is being sent regarding Steve C.

11/19/02
GAAC meeting in which over 100 people showed. Thirty-four stood up to ask that the Steve and Trish remain and 3 stood up and stated that they wanted Steve and Trish out. Meeting was taped. County offered five alternatives with others possible. GAAC recommended number four.

11/21/02 (222-227)
Memo to Supervisors Baumann, Dupray, Borelli, and Solaro from someone who is blocked out [apparently the one who sent it was Penny Humphreys as is written in what appears to be her handwriting] Cites document "Memo to Joe Harn".

Comments: "For your consideration and review please note - according to court documents the Cimmarustis have been defendants no less than 11 times in the past 7 years in litigation. Can we (the County) pull his credit report ie TRW, Equifax, etc."

Nov 19 (Memo to Joe Harn) [from is blocked out.]
1. Attached is recap of charges with respect to [Steve]...
2. See attached list of litigation...
3. Please note the several that list [Steve] as defendant and the description of lawsuit.
4. Argument against card lock system at airport (economics not good).
5. Need different profit split for fuel flowage between FBO and County (County not getting enough if card lock system is to be installed).
6. Wants citizens who like Steve to find way to "support" him.
7. Argument that Steve's presence inhibits outside proposals for FBO.

Attachments: Statement that Steve owes county money [wrong] and court actions.

11/26/02
Supervisor Borelli asked that decision be put off on Steve and Trish until 1/28/03. The rest of the Board agreed.

12/10/02 (228-229)
GAAC meeting (see meeting summary). Showed that Cimmarustis had been in compliance with the lease and that Joe Harn had been given false information as had the Mountain Democrat. Also showed that the County had again failed to seal the cracks in the runway as the rains are now starting and they have done nothing. The County has also failed to keep up with the simple maintenance of the Airport and the campground. The County is proposing to set aside $150,000 for a chainlink fence around the airport which is neither needed nor wanted at this time. The County failed to have a surveyor replace the missing pipe markers for the airport. The minutes of the last GAAC meeting were not correct as given by the County. However, Gary Hyden stated that he wants only to help the Georgetown Airport and the GAAC. Other items were mentioned, but as of now they are merely hopes for a better future.

1/15/03 (230-235)
Meeting with Charlie Paine, Craven Alcott, Louis Green, Joe Harn, Sherril Jodar, Sandy Green, Michael Gray, Steve Cimmarusti, and Trish Cimmarusti. In this meeting, the County presented a document titled KEY TERMS OF PROPOSED FBO AIRPORT LEASE AGREEMENT BETWEEN THE COUNTY OF EL DORADO AND STEPHEN G. CIMMARUSTI.

This meeting was supposedly called (according to what several of us were told) as a means of the interested parties coming together to discuss the terms of the new lease for the Cimmarustis. Only a few people were attend and the Cimmarustis were not to have anyone there to represent their side except themselves. Instead, there were many people from the County present who had already drafted a proposed lease to which they hoped the Cimmarustis would agree.

The Cimmarustis did not agree at this point and took a copy of the document away from the meeting to be reviewed by the Friends of the Airport. The Strategic Planning Committee of the Friends examined the terms in this proposal thoroughly and drafted a reply which they sent to Craven Alcott via e-mail with a hand copy to Michael Gray. The pertinent particulars of this meeting may be found in the Friends of the Airport reply.

1/19/03
This meeting of the Friends of the Georgetown Airport Strategic Planning Committee on 1/19/03 resulted in a reply to the 1/15/03 County's proposed lease terms. The reply addresses the concerns which the Friends had regarding the County's document, the County's methods of illiciting consent to the terms, and the way the terms proposed affect the entire population of Georgetown Divide.

1/21/03
The Cimmarustis were "invited" to attend another meeting to discuss the terms of their new lease. On the date of this meeting, Joe Harn discovered that the Friends of the Georgetown Airport had replied to the County's proposed terms, and he called Pat Leeds (president of the Friends) and expressed his extreme displeasure that the Cimmarustis had shown the terms to the Friends and that the Friends had replied. It seemed apparent that (1) certain people in the County Administration had hoped to browbeat the Cimmarustis into submitting to the proposed terms, (2) that this would be more easily accomplished with a "private" meeting at which the Cimmarustis were considerably outnumbered, (3) and that the Cimmarustis were not supposed to let anyone else know about the proposed terms.

At the meeting on this date, the same people were present that were present at the meeting of 1/15/03 mentioned above. The people from County Administation were less belligerent and more friendly and asked about the Cimmarustis concerns. Briefly, the friends were told that the following points were discussed.

1. The people from Risk Management explained that three insurance requirements should be upgraded and had been upgraded in one recent lease. The other proposed insurance requirements were not to be a part of the new lease.

The insurance need not be upgraded until the old policy lapses on 2/28/03.

The County has repeatedly failed to follow the Minimum Standards. The Minimum Standards address what the County can ask from an FBO. The insurance requirements established in the Minimum Standards are the minimum that the FBO must provide and maximum that the County can require of the FBO. Higher insurance requirements are optional and the FBO is not required to have them. Furthermore, the Minimum Standards states that all FBOs must adhere to the same requirements (equal treatment).

If the General Services or a part thereof wants to have the Minimum Standards changed, it should go through the usual procedure with final approval by the BOS. It cannot legally create a law or policy by administration even though it has tried to do so repeatedly. Causing the Cimmarustis to pay for more insurance than other FBOs violates their civil rights.

The above and other similar points were pushed aside by one of the County people stating that perfect compliance with the Minimum Standards would involve asking for a credit report from the Cimmarustis. At this time their credit is not good which was certainly, at least in part, due to certain individuals within the County deliberately attempting to ruin it.

To this day, many people still tell others not to do business with Steve. This is the result of a smear campaign by those named in a certain legal action. Steve is the victim of an attempt to drive him out of business. Although, the events of 9/11/01 did create a period of over a month in which general aviation was shut down, it is likely that the Cimmarustis would have been able to pay their bills in time had their savings not been depleted. Second Complaint

2. Steve must pay the full deposit of $2,500 even though the lease is only for one year.

3. The Cimmarustis need only list the activities that they do which are not necessarily aviation-related. These will be approved and allowed in the new lease.

4. There will be no change in the lease as to using a postmark as the date of payment. However, contrary to past County policy, anyone in County administration will be allowed to accept a check. This means that a County employee such as Brian Burgess, when performing his duties at the Airport, can accept a check and give the Cimmarustis a dated receipt for it.

5. No insurance payments will be required in advance. If there should be any lapse in insurance, the Cimmarustis are to immediately call the County and tell them of it.

6. Steve has the transient tie-downs again.

7. The unicom use is going back into the contract, but the County is not legally responsible for the Cimmarustis' use of it.

8. The fuel sales will be changed as shown in the Friend's reply which is the way Steve wanted them. The County will own the fuel and Steve will be given a percentage of the money collected for its sale.

9. The $10,000 that the county owes Steve will be kept by the County and the Cimmarustis agreed to let it go.

According to the Cimmarustis (had a recording been made of this meeting this could be verified or shown to be incorrect - in such meetings recordings are not usually allowed), the following is what happened. Louis Green and Joe Harn made the point that they will oppose any attempt to take the money back from the County by legal means even though the Cimmarustis might have a good case. Green also mentioned that it would cost more for them to sue than they would gain from the suit. He also said that the Stipulation for Settlement mentioned by the Friends only stated that the Cimmarustis released the County from any future action and not that the County released the Cimmarustis. Actually, the document states in the first paragraph and in an all-encompassing bold-lettered paragraph that the County does, indeed, release the Cimmarustis. It is in the second paragraph that the Cimmarustis release the County. Settlement

Steve and Trish were allowed to go out in the hall and discuss this. Steve knew from past experience that his legal fees were over $27,000 to collect $11,000 owed to him by a man who was part of the County conspiracy to put Steve out of business. He did not have a copy of the Stipulation for Settlement with him and Lou Green sounded like he was telling the truth. The Cimmarustis needed the new lease and it appeared that they were once again being threatened with eviction if they protested.

BACK - NEXT