LATE HISTORY OF GEORGETOWN FBO & COUNTY
SECTION ELEVEN
9/24/99 to 12/27/99

INTRODUCTION - CONTENTS - MINIMUM STANDARDS
Airport Terms Defined - List of Key People

Other Sections
One (8/22/89 thru 4/19/94) - Two (6/10/96 only) - Three (thru 9/19/96)
Four (thru 9/18/97) - Five (thru 8/10/98) - Six (thru 10/26/98)
Seven (thru 4/14/99) - Eight (thru 6/24/99) - Nine (thru 9/8/99)
Ten (second complaint) - Twelve (thru 7/25/00) - Thirteen (thru 10/9/00)
Fourteen (thru 9/11/01) - Fifteen (thru 10/1/02) - Sixteen (thru 1/19/03)
Seventeen (to present)

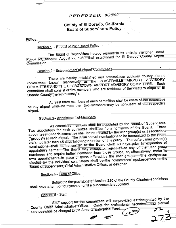
9/24/99 (154)
Craven is quoting tie-down fees on typed note and wants to have lunch with recipient of note (not named) and talk about airports.

*** 9/28/99 (155)
BOS abolishes Airport Commission.
Document

9/29/99 (106)
Check for $700 from Freda Pechner's client trust account to county for Sept lease payment. [Late charge comment same as that for 4/14/99.]

10/23/99 (156)
Check for $700 from Freda Pechner's client trust account to county for Oct lease payment. [Late charge comment same as that for 4/14/99.]

11/29/99 (156)
Check for $700 from Freda Pechner's client trust account to county for Nov lease payment. [Late charge of $42 added by county according to Interoffice Memo from Brian Burgess to David Nicolls, dated 6/11/00 (A-19). Apparently, this is the earliest mention of this late charge. Late charges were totaled separately and not added to other charges until this date. Steve states that no mention of late charges were given to him until much later. There is no mention of any late charges billed by County in the correspondence given to Paul. See also A-15]

12/27/99 (156)
Check for $700 from Freda Pechner's client trust account to County for Dec lease payment. [Late charge comment same as that for 11/29/99.]

BACK - NEXT