LATE HISTORY OF GEORGETOWN FBO & COUNTY
SECTION FOURTEEN
10/25/00 to 9/11/01

INTRODUCTION - CONTENTS - MINIMUM STANDARDS
Airport Terms Defined - List of Key People

Other Sections
One (8/22/89 thru 4/19/94) - Two (6/10/96 only) - Three (thru 9/19/96)
Four (thru 9/18/97) - Five (thru 8/10/98) - Six (thru 10/26/98)
Seven (thru 4/14/99) - Eight (thru 6/24/99) - Nine (thru 9/8/99)
Ten (second complaint) - Eleven (thru 12/27/99) - Twelve (thru 7/25/00)
Thirteen (thru 10/9/00) - Fifteen (thru 10/1/02) - Sixteen (thru 1/19/03)
Seventeen (to present)

*** 10/25/00 (188)
Letter from Freda Pechner to Tom Parker.
Document
County is claiming $11,900 due from Steve. Prior letter from County concedes considerable delay in lease assignment - which was not Steve's fault. Steve has incurred substantial attorney's fees to resolve the matter which was promised to be completed over two years ago. Would be happy to discuss matter. As County must be aware, Steve is current in all lease obligations including payment of rent to County.

*** 10/25/00 (189)
Letter from Freda Pechner to BOS.
Document
Date of injury 9/28/00. Freda retained by Steve for violation of his civil rights in denying him the right to lease premises owned by County (as set forth in letter from George Martin of General Services, dated 9/28/00).

Basis for claim is it is included in layout plan for Georgetown Airport as "future FBO site." It was previously on the market and leased to McKeehan in 1996, during his tenure as District IV Planning Commissioner, on the condition that hangar be constructed in a specified time. There is no legal basis to deny lease of property to Steve. Martin's comments that lease of property to Steve was denied due to fear of litigation is a violation of Steve's civil rights. As a result of refusal to allow Steve to lease property, Steve has suffered economic and personal injuries. Damage to Steve exceeds $10,000.

*** 1/17/01 (190-191)
Letter from Tom Parker to Freda Pechner.
Page 1 - Page 2
Thank you for your letter of 10/25/00 in response to County's earlier letter regarding $11,900 owed to County from Treiber lease. Delay in assigning Treiber lease to Steve was due to Steve's inability to provide insurance requirements.

Steve chose to incur legal fees on issues separate from Treiber lease assignment and that legal action has been resolved.

County is open to negotiations on terms of repayment and proposes that $11,900 be paid in equal installments over a six month period in addition to the usual rent.

NO DATE (192-193)
Treiber assigns FBO lease to Steve subject to county approval (Stamped 11/?/01- C54) Exhibit E for fuel flowage not valid. No lease modification or update to cover fuel flowage was forthcoming from county - even to this date.

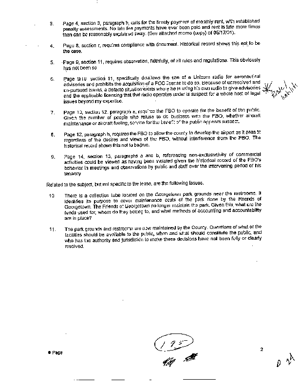
5/31/01 (194-195)
*** Memo from Mark M to Craven Alcott regarding review of Steve's lease.
Page 1 - Page 2

1. States no fuel flowage fee was ever paid by Steve.
2. Transient fees ambiguous.
3. No late fees have ever been paid and rent is more often than not late.
4. Compliance is a problem.
5. States a problem with compliance again.
6. Unicom issue is a problem.
7. Public may not be benefiting from Steve as FBO.
8. County may develop airport as it sees fit - not the FBO.
9. Non-exclusivity of commercial activities could be viewed as having been violated.
10. Confusion as to funds collected at campground.
11. Campground policy is not clear. County now maintains restrooms at park.

9/11/01
Terrorist attack on World Trade Center. All general aviation adversely affected for over adversely affect for over one month. Federal support offered.

BACK - NEXT